Home Health In Donalsonville Ga . View all businesses that are open 24 hours. Web home health in donalsonville, ga. Web national home care covers south georgia. Web browse all home health agencies near donalsonville, ga and compare the quality of care and services offered. We provide a wide array of services ranging from pediatric to geriatric care. Web pugh's personal care home. 5834 saint matthew saint john church road. Web find home care agencies near donalsonville, georgia. Web browse the 102 home care agencies in donalsonville, read 98 reviews of families’ experiences, and learn about.
from www.moorefhdonalsonville.com
View all businesses that are open 24 hours. Web national home care covers south georgia. Web browse the 102 home care agencies in donalsonville, read 98 reviews of families’ experiences, and learn about. Web find home care agencies near donalsonville, georgia. Web browse all home health agencies near donalsonville, ga and compare the quality of care and services offered. 5834 saint matthew saint john church road. We provide a wide array of services ranging from pediatric to geriatric care. Web pugh's personal care home. Web home health in donalsonville, ga.
Moore Funeral Home LLC Donalsonville GA funeral home and cremation
Home Health In Donalsonville Ga View all businesses that are open 24 hours. Web browse all home health agencies near donalsonville, ga and compare the quality of care and services offered. Web home health in donalsonville, ga. 5834 saint matthew saint john church road. Web find home care agencies near donalsonville, georgia. Web national home care covers south georgia. Web browse the 102 home care agencies in donalsonville, read 98 reviews of families’ experiences, and learn about. We provide a wide array of services ranging from pediatric to geriatric care. Web pugh's personal care home. View all businesses that are open 24 hours.
From scooptour.com
Suspect arrested in 2022 Donaldsonville homicide Scoop Tour Home Health In Donalsonville Ga 5834 saint matthew saint john church road. Web national home care covers south georgia. View all businesses that are open 24 hours. Web pugh's personal care home. We provide a wide array of services ranging from pediatric to geriatric care. Web browse the 102 home care agencies in donalsonville, read 98 reviews of families’ experiences, and learn about. Web find. Home Health In Donalsonville Ga.
From www.realtor.com
Donalsonville, GA Real Estate Donalsonville Homes for Sale Home Health In Donalsonville Ga Web browse all home health agencies near donalsonville, ga and compare the quality of care and services offered. Web find home care agencies near donalsonville, georgia. View all businesses that are open 24 hours. Web home health in donalsonville, ga. We provide a wide array of services ranging from pediatric to geriatric care. 5834 saint matthew saint john church road.. Home Health In Donalsonville Ga.
From www.donaldsonville-la.gov
Donaldsonville, LA Home Health In Donalsonville Ga Web pugh's personal care home. Web national home care covers south georgia. Web find home care agencies near donalsonville, georgia. Web browse all home health agencies near donalsonville, ga and compare the quality of care and services offered. We provide a wide array of services ranging from pediatric to geriatric care. View all businesses that are open 24 hours. Web. Home Health In Donalsonville Ga.
From www.zillow.com
1240 Mississippi St, Donaldsonville, LA 70346 Zillow Home Health In Donalsonville Ga Web browse all home health agencies near donalsonville, ga and compare the quality of care and services offered. Web browse the 102 home care agencies in donalsonville, read 98 reviews of families’ experiences, and learn about. We provide a wide array of services ranging from pediatric to geriatric care. Web pugh's personal care home. View all businesses that are open. Home Health In Donalsonville Ga.
From vanishinggeorgia.com
Donalsonville GA Vanishing Photographs by Brian Brown Home Health In Donalsonville Ga 5834 saint matthew saint john church road. Web browse all home health agencies near donalsonville, ga and compare the quality of care and services offered. View all businesses that are open 24 hours. Web home health in donalsonville, ga. Web browse the 102 home care agencies in donalsonville, read 98 reviews of families’ experiences, and learn about. Web pugh's personal. Home Health In Donalsonville Ga.
From www.facebook.com
Highlighting this spacious 3 bed/1 bath home in Donaldsonville 🙌🏾🥰 Home Health In Donalsonville Ga Web pugh's personal care home. Web browse all home health agencies near donalsonville, ga and compare the quality of care and services offered. View all businesses that are open 24 hours. Web home health in donalsonville, ga. We provide a wide array of services ranging from pediatric to geriatric care. 5834 saint matthew saint john church road. Web browse the. Home Health In Donalsonville Ga.
From www.weeklycitizen.com
Ascension Parish Council expands task force to examine healthcare in Home Health In Donalsonville Ga Web home health in donalsonville, ga. Web find home care agencies near donalsonville, georgia. Web browse all home health agencies near donalsonville, ga and compare the quality of care and services offered. Web browse the 102 home care agencies in donalsonville, read 98 reviews of families’ experiences, and learn about. We provide a wide array of services ranging from pediatric. Home Health In Donalsonville Ga.
From brooksrehab.org
Home Health in Gainesville, FL Brooks Rehabilitation Home Health In Donalsonville Ga Web pugh's personal care home. View all businesses that are open 24 hours. Web browse all home health agencies near donalsonville, ga and compare the quality of care and services offered. We provide a wide array of services ranging from pediatric to geriatric care. Web browse the 102 home care agencies in donalsonville, read 98 reviews of families’ experiences, and. Home Health In Donalsonville Ga.
From www.theadvocate.com
Historic Donaldsonville home, once owned by one of Louisiana's first Home Health In Donalsonville Ga Web home health in donalsonville, ga. 5834 saint matthew saint john church road. Web national home care covers south georgia. Web find home care agencies near donalsonville, georgia. Web browse the 102 home care agencies in donalsonville, read 98 reviews of families’ experiences, and learn about. Web browse all home health agencies near donalsonville, ga and compare the quality of. Home Health In Donalsonville Ga.
From ezlocal.com
Freedom Homes Mobile Home Dealer Donaldsonville, LA 70346 Home Health In Donalsonville Ga Web pugh's personal care home. Web home health in donalsonville, ga. Web find home care agencies near donalsonville, georgia. Web national home care covers south georgia. We provide a wide array of services ranging from pediatric to geriatric care. Web browse the 102 home care agencies in donalsonville, read 98 reviews of families’ experiences, and learn about. Web browse all. Home Health In Donalsonville Ga.
From www.pinterest.com
Donaldsonville LA search in pictures New orleans louisiana Home Health In Donalsonville Ga Web national home care covers south georgia. Web pugh's personal care home. Web browse all home health agencies near donalsonville, ga and compare the quality of care and services offered. We provide a wide array of services ranging from pediatric to geriatric care. View all businesses that are open 24 hours. Web home health in donalsonville, ga. Web find home. Home Health In Donalsonville Ga.
From www.225batonrouge.com
Mustsee attractions in and around Donaldsonville [225] Home Health In Donalsonville Ga Web national home care covers south georgia. Web pugh's personal care home. We provide a wide array of services ranging from pediatric to geriatric care. Web home health in donalsonville, ga. Web browse the 102 home care agencies in donalsonville, read 98 reviews of families’ experiences, and learn about. 5834 saint matthew saint john church road. Web find home care. Home Health In Donalsonville Ga.
From npiprofile.com
NESTED HOME HEALTHCARE LLC, NPI 1619729324 Home Health in Fairfield, OH Home Health In Donalsonville Ga Web find home care agencies near donalsonville, georgia. Web browse all home health agencies near donalsonville, ga and compare the quality of care and services offered. View all businesses that are open 24 hours. We provide a wide array of services ranging from pediatric to geriatric care. Web national home care covers south georgia. 5834 saint matthew saint john church. Home Health In Donalsonville Ga.
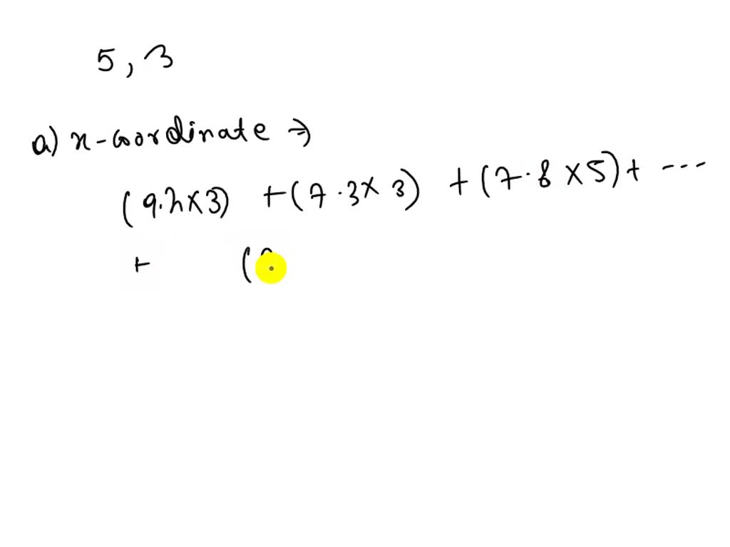
From www.numerade.com
A chain of home health care firms in Louisiana needs to locate a Home Health In Donalsonville Ga Web home health in donalsonville, ga. Web browse all home health agencies near donalsonville, ga and compare the quality of care and services offered. Web browse the 102 home care agencies in donalsonville, read 98 reviews of families’ experiences, and learn about. Web pugh's personal care home. We provide a wide array of services ranging from pediatric to geriatric care.. Home Health In Donalsonville Ga.
From prime-homehealthcare.com
245D Prime Home Health Care Home Health In Donalsonville Ga Web find home care agencies near donalsonville, georgia. View all businesses that are open 24 hours. Web browse all home health agencies near donalsonville, ga and compare the quality of care and services offered. 5834 saint matthew saint john church road. Web home health in donalsonville, ga. Web national home care covers south georgia. We provide a wide array of. Home Health In Donalsonville Ga.
From www.kplctv.com
7 arrested in alleged Donaldsonville dogfighting ring Home Health In Donalsonville Ga Web find home care agencies near donalsonville, georgia. Web pugh's personal care home. Web browse the 102 home care agencies in donalsonville, read 98 reviews of families’ experiences, and learn about. View all businesses that are open 24 hours. Web national home care covers south georgia. Web home health in donalsonville, ga. Web browse all home health agencies near donalsonville,. Home Health In Donalsonville Ga.
From www.svngilmoreauction.com
Former Bank Building in Historic Downtown Donaldsonville Home Health In Donalsonville Ga Web browse all home health agencies near donalsonville, ga and compare the quality of care and services offered. View all businesses that are open 24 hours. Web find home care agencies near donalsonville, georgia. Web pugh's personal care home. Web browse the 102 home care agencies in donalsonville, read 98 reviews of families’ experiences, and learn about. 5834 saint matthew. Home Health In Donalsonville Ga.
From www.facebook.com
Donaldsonville, Louisiana Home Facebook Home Health In Donalsonville Ga Web find home care agencies near donalsonville, georgia. Web pugh's personal care home. View all businesses that are open 24 hours. Web national home care covers south georgia. Web browse all home health agencies near donalsonville, ga and compare the quality of care and services offered. We provide a wide array of services ranging from pediatric to geriatric care. Web. Home Health In Donalsonville Ga.